miRNeasy Serum/Plasma Advanced Kit (50)

  • 商城价:
  • 6590
  • 市场价:
  • 6590

  • 品牌:Qiagen/凯杰
  • 货号:217204
  • 规格:1kit
  • 计量单位:
  • 销售区域:
  • 辽宁省

    吉林省

    黑龙江省

  • 优惠券:
  • 数  量:
  • - +
    库存:100

看了又看换一换

商品名称:miRNeasy Serum/Plasma Advanced Kit (50)

  • 货号:217204
[

Features

  • Phenol-free protocol – no need for phase separation or working under the hood
  • MinElute columns allow for small elution volumes (approx. 20 µl)
  • Consistent, pure RNA for all downstream applications
,

Product Details

The miRNeasy Serum/Plasma Advanced Kit enables the isolation of total RNA, including miRNA, from a minimum of 200 µl of sample. The phenol-free protocol allows all steps to be performed on the bench and removes the need for phase separation, making the kit suitable for automation, e.g., on the QIAcube Connect. The kit includes UCP columns that go through a rigorous ultraclean production process to ensure highly pure RNA eluates.

,

Performance

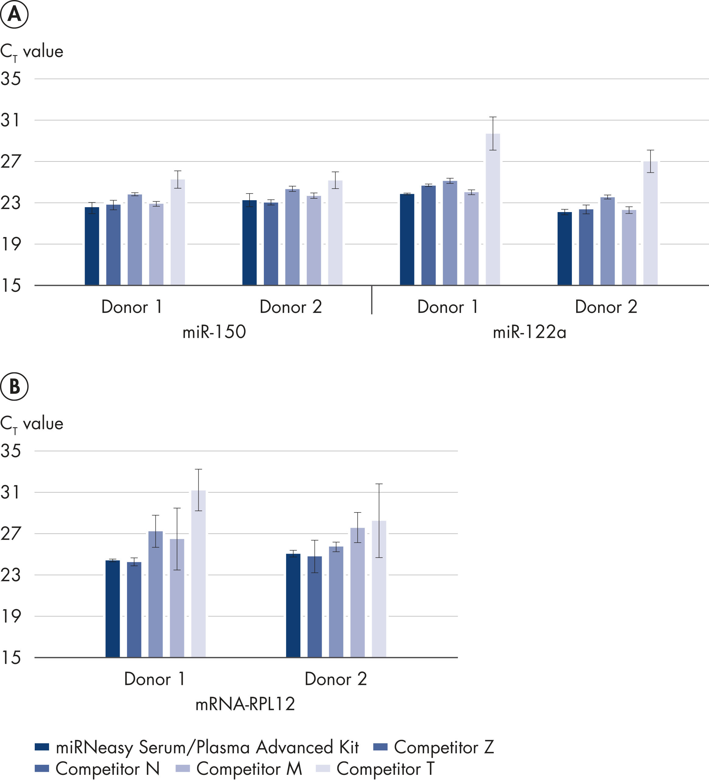
The miRNeasy Serum/Plasma Advanced Kit provides a phenol-free alternative to the miRNeasy Serum/Plasma Kit with similar RNA yields and quality (see figure  High recovery of miRNA without the need for phenol). The miRNeasy Serum/Plasma Advanced Kit efficiently isolates total RNA, including miRNA, from serum and plasma samples starting from a minimum input amount of 200 µl. The phenol-free protocol uses easy-to-automate MinElute spin column technology without the need for a vacuum pump (see figure  miRNeasy Serum/Plasma Advanced Kit procedure). Extracellular vesicles are lysed to allow analysis of RNA in and outside of vesicles (see figure  Detection of miRNAs preferentially found inside and outside of extracellular vesicles). Unlike kits from other suppliers, the miRNeasy Serum/Plasma Advanced Kit combines ease-of-use and a phenol-free protocol without any compromise on RNA quality or yield (see figure  Competitive yields and performance).

See figures
,

Principle

For analysis of the complete plasma RNA content, including RNA contained within extracellular vesicles, Buffer RPL mixed with the plasma sample is used to ensure efficient lysis. The kit includes Buffer RPP, which precipitates contaminants such as plasma proteins. The kit employs a protocol based on spin-column technology. The sample is first applied to the spin column to bind total RNA and any unwanted analytes or contaminants are removed in subsequent wash and centrifugation steps before the sample is eluted in the final centrifugation step.
,

Procedure

Serum or plasma (200 µl) are mixed with Buffer RPL to release and stabilize RNA from plasma proteins and extracellular vesicles. The sample is then mixed with Buffer RPP and centrifuged to precipitate proteins. Isopropanol is added to the supernatant to provide the appropriate conditions for RNA molecules (>18 nucleotides) to bind to the silica membrane. The sample is then applied to the RNeasy UCP MinElute spin column, where RNA binds to the membrane and other contaminants are washed away in subsequent wash steps. In the final step, total RNA (>18 nucleotides) is eluted using RNase-free water.
,

Applications

The miRNeasy Serum/Plasma Advanced Kit isolates total cell-free and exosomal RNA from plasma or serum. Downstream applications include:
  • Biomarker discovery
  • Expression profiling
  • Next-generation sequencing
  • Quantitative, real-time RT-PCR
  • Microarray analysis
]
销售区域
  • 辽宁省
  • 吉林省
  • 黑龙江省
优惠卷

可领取的券

已领取的券