QIAseq Targeted RNA 96-Index HT I (384)

  • 商城价:
  • 14630
  • 市场价:
  • 14630

  • 品牌:Qiagen/凯杰
  • 货号:333127
  • 规格:1kit
  • 计量单位:
  • 销售区域:
  • 辽宁省

    吉林省

    黑龙江省

  • 优惠券:
  • 数  量:
  • - +
    库存:100

看了又看换一换

商品名称:QIAseq Targeted RNA 96-Index HT I (384)

  • 货号:333127
[

Features

  • 能够同时检验数百个样本中的数百个基因
  • 仅需25 ng的总RNA
  • 在1天时间内完成从样本制备到文库构建的流程
  • 分子条形码保证了表达图谱分析的准确性
,

Product Details

QIAseq Targeted RNA Extended Panel为通过RNAseq进行定量基因表达谱分析的“从样本制备到数据解读”解决方案。这些panel结合了分子条形码技术和两步法PCR的文库制备,为数字RNA测序结果提供无偏差、准确地定量检测。QIAseq Targeted Panels已经过湿法验证,实验结果具有高度准确度。
,

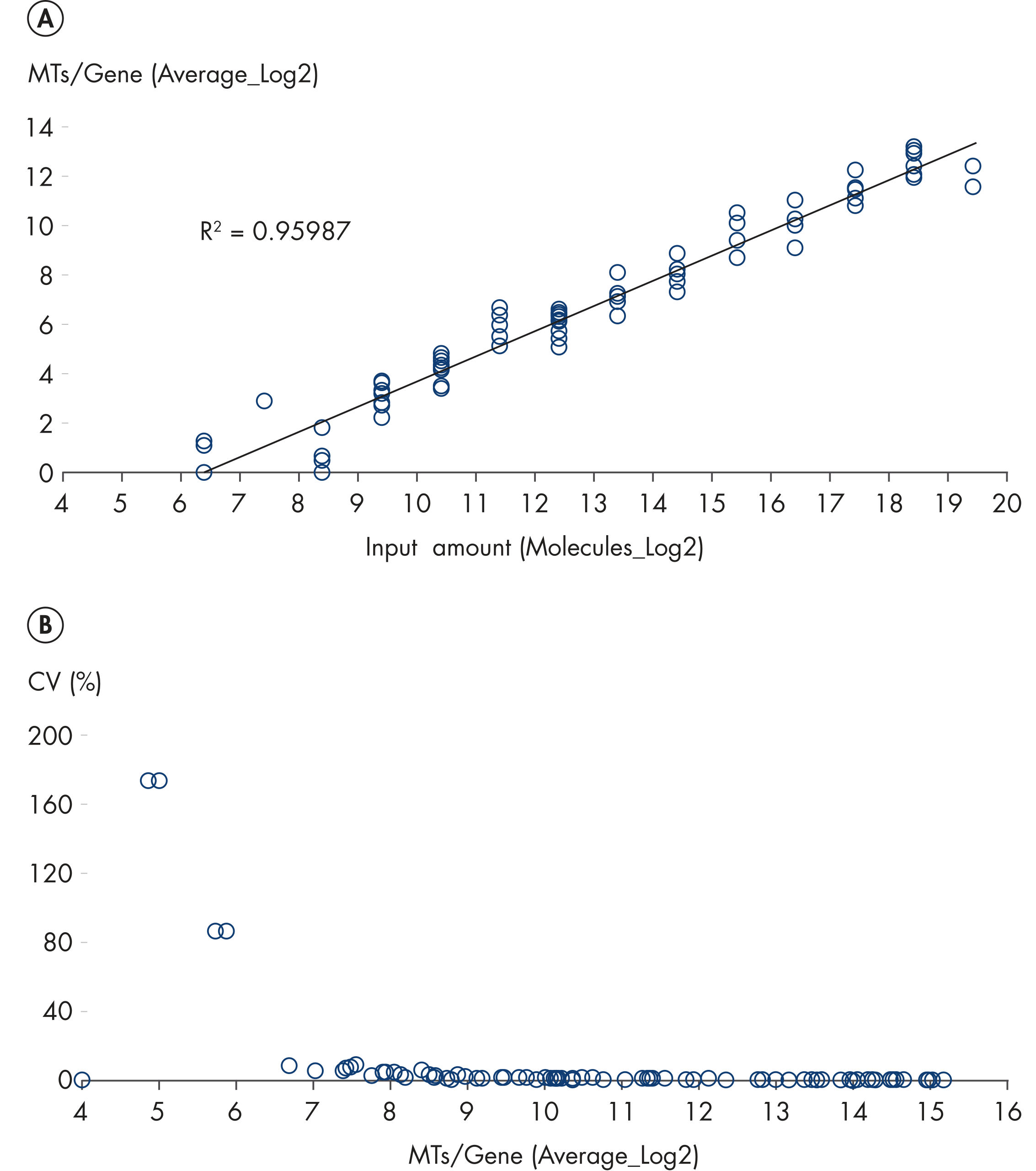
Performance

  • 准确性:创新的数字测序技术(分子条形码计数法)消除了PCR复制和扩增引入的偏差,可获得准确的结果( 参见图无偏差、准确的基因定量检测结果
  • 特异性:独创性地将专有的引物设计算法和每个引物延伸实验的严格检测相结合,保证了结果的高度特异性和准确性( 参见图专有的引物设计– 97%的特异性)。
  • 一致性:QIAseq Targeted RNA Panel工作流程已经过优化,可获得高度一致的测序结果,保证仪器的测序能力得到有效利用。实际上,数字测序(分子条形码)已完全消除了RNAseq计数中产生的数据波动( 请参见图卓越的一致性 – 97%的实验结果均处于分子标记数中位数的20%内)。
  • 可重复性:QIASeq Targeted RNA Panel系统重复性强,在重复样本、不同批次产品和不同仪器的检测结果间存在很强的相关性,平均相关系数高于0.99,保证了检测的可靠性。
  • 灵敏性:数字RNA测序系统已经过优化,可获得极为可靠的定量检测结果,可定量25 ng总RNA之中低至100个拷贝的RNA靶标( 参见图每个细胞低至0.2个拷贝数RNA的阳性测定结果)。
  • 灵活性:QIAseq panel将NGS的强大功能和qPCR的准确性合为一体。在获得高性价比数据结果的同时,可通过单次NGS多重检测多个样本。
See figures
,

Principle

  • 传统的RNA测序方法会受到PCR反应中模板复制和扩增的影响而引入误差,导致基因表达分析不够准确。QIAseq Targeted RNA Panel在进行PCR扩增反应之前引入分子条形码,消除了上述问题从而能够对基因进行准确的数字化定量( 参见图客观、准确地基因定量)。
  • QIAseq Targeted RNA Panel的优势在于包含内参反应体系,能够对RNA样本中任何由gDNA造成的污染进行控制,从而获得可重复性高的实验结果。管家基因(HKG)实验用于归一化数据,从而可对比各样本及运行批次间的结果。
See figures
销售区域
  • 辽宁省
  • 吉林省
  • 黑龙江省