MagAttract HMW DNA Kit (48)

  • 商城价:
  • 5010
  • 市场价:
  • 5010

  • 品牌:Qiagen/凯杰
  • 货号:67563
  • 规格:1kit
  • 计量单位:
  • 销售区域:
  • 辽宁省

    吉林省

    黑龙江省

  • 优惠券:
  • 数  量:
  • - +
    库存:100

看了又看换一换

商品名称:MagAttract HMW DNA Kit (48)

  • 货号:67563
[

Features

  • 可重复的高分子量DNA的分离
  • 从各种样本材料中获得高产量和高纯度
  • 快速便捷的实验方案
  • 彻底去除抑制剂
,

Product Details

MagAttract HMW DNA Kit采用了简单的基于磁珠的实验方案,可实现高分子量(100–200 kb)DNA的纯化。纯化步骤可以温和地去除污染物和抑制剂,具有极高的产量和纯度。抽提的基因组DNA适合各种应用领域,包括存档和二代测序(NGS)。
,

Performance

高分子量DNA的高效分离
MagAttract HMW DNA Kit可确保基因组DNA >150 kb的可重复分离。采用脉冲场凝胶电泳比较MagAttract HMW DNA Kit及其他基于磁珠的步骤分离的DNA。MagAttract HMW DNA Kit在高分子量DNA分离方面具有出众的性能(参见 低分子量DNA的成功分离)。
稳定的高产量和纯度
MagAttract HMW DNA Kit采用了便捷简单的步骤,可获得高产量和纯度的高分子量DNA。温和的裂解条件最大程度地减少了DNA片段化现象,同时有效去除了污染物和PCR抑制剂,可以获得纯的高分子量DNA。相比其他供应商提供的经典的离心柱或磁珠分离方法,优化的MagAttract HMW DNA Kit试剂和步骤大幅提升了DNA的产量和纯度(参见 最高产量和纯度 从各种样本类型获得更高的产量)。
有效去除PCR抑制剂
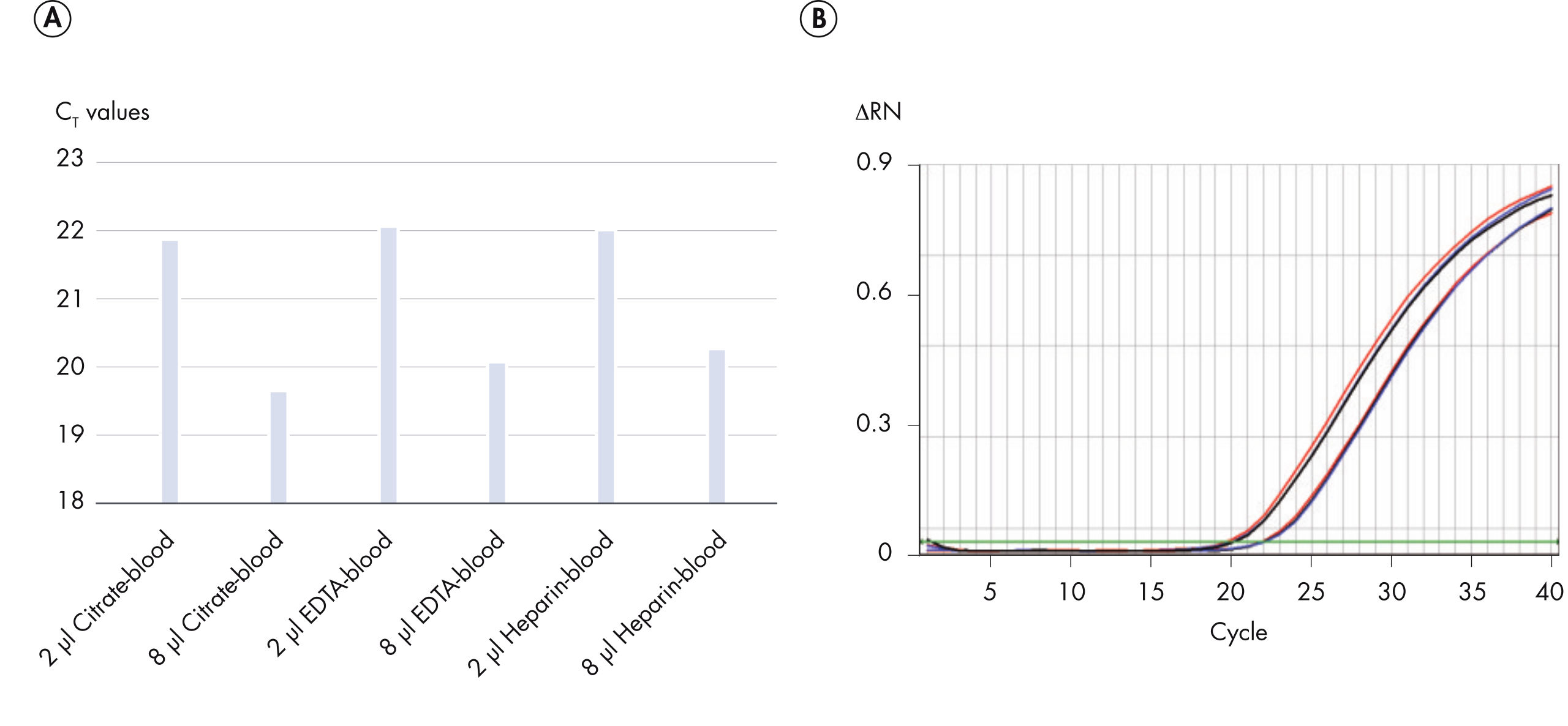
诸如real-time PCR或NGS等高敏感性的应用要求将抗凝剂、酶、二价阳离子及其他抑制剂全部去除。采用MagAttract HMW DNA Kit从分别经EDTA、肝素和枸橼酸盐稳定的血液样本中分离出DNA,进行real-time PCR扩增。所有样本均未观察到抑制现象,其CT值与样本体积之间存在高线性相关关系(参见 含抗凝血剂的样本中无抑制现象)。
可直接用于新一代测序的基因组DNA 
大规模平行测序(MPS)技术采用的是较短的读取长度,因此可以使用完整基因组DNA >10 kb进行测序。但采用标准DNA纯化产物仍然难以实现从头基因组组装并发现遗传性和获得性的结构变异。插入片段较大的双端测序文库对测序成功的影响很大,尤其是包含大量复杂重复序列的基因组。采用MagAttract HMW DNA Kit获取的高分子量基因组DNA可直接用于NGS实验(参见下表)。

二代测序实验(双端测序)的结果
参数 规格
总(长)映射读数 6521106
错误率 0.36%
插入缺失率 0.01%
嵌合体 0.14%
重复百分比 1.15%
See figures
,

Principle

基因组DNA分离是所有DNA分析的关键步骤。主要参数一般包括分离DNA的产量、纯度和完整性。对于标准方法(如PCR、测序或杂交技术)而言,10–30 kb的分子量范围足以,而对于某些敏感的方法(如BAC或粘粒文库构建或DNA存档),则需要更高的基因组DNA完整性。

MagAttract HMW DNA Kit经过精心设计,可从各种样本(包括人或动物组织、血液和细菌)中分离出高分子量的DNA。该试剂盒有效地结合使用了高性能磁珠和创新的硅胶试剂。高性能磁珠颗粒可确保分离出高产量和纯度的DNA。
,

Procedure

采用便捷的MagAttract实验方案,只需70分钟即可获得可重复的结果。
快速、优化的实验方案
优化的缓冲液和酶可以温和裂解样本,同时确保基因组DNA的片段化程度最小化。该操作包括4个简单的步骤:裂解、结合、冲洗和洗脱。样本裂解后,DNA结合至磁珠表面。在冲洗过程中,污染物和PCR抑制剂被有效去除,并将纯的高分子量DNA洗脱至Buffer AE中(参见 MagAttract HMW DNA Kit实验步骤)。
See figures
,

Applications

采用MagAttract HMW DNA Kit获取的高分子量基因组DNA可直接用于NGS实验。它可用于小片段和大片段文库的构建,适用于所有测序应用。
]
销售区域
  • 辽宁省
  • 吉林省
  • 黑龙江省
优惠卷

可领取的券

已领取的券